¿Cuál es el resultado de esta expresión?

por | 26 Dic, 2019 | Curiosidades Matemáticas

Tardarás en leer esto... < 1 minuto

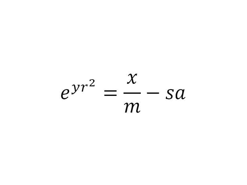
Dada la siguiente expresión:   

En que la variable dependiente y está expresada en función de la variable independiente x y otros parámetros, como son:

m, número de mensajes enviados por minuto en estas fechas

s, salud para disfrutar de estos días festivos

a, cantidad de alegría que aporta cada persona por día, constante hasta el último día

r, el ritmo al que comemos turrón, también peligrosamente constante

Si aplicamos todos los recursos que enseñamos a lo largo de la ESO, podremos hallar en qué queda esta expresión.

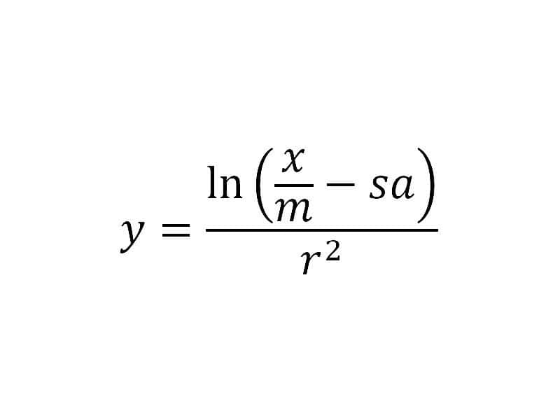
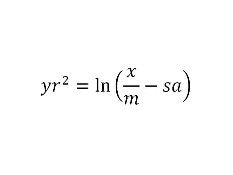
Como r2 está dividiendo, pasa al otro miembro multiplicando a la variable dependiente, de modo que

Para despejar la variable a la que se le aplica el logaritmo, usaríamos la propiedad de logaritmos alogak = k, quedando:

Hacemos m.c.m. (mínimo común múltiplo) en el miembro de la derecha:

El denominador m pasa multiplicando al miembro de la izquierda:

Recordamos que un cuadrado es una expresión multiplicada dos veces:

Y como el orden de los factores no altera el producto debido a la propiedad conmutativa a · b = b · a, la expresión queda así:

Solución: ¡Feliz Navidad!

Quizá también te interese

0 comentarios

Enviar un comentario

Tu dirección de correo electrónico no será publicada. Los campos obligatorios están marcados con *

Este formulario recopila tu nombre, correo electrónico y contenidos para que podamos realizar un seguimiento de los comentarios dejados en la web. Para más información revisa nuestra política de privacidad, donde te explicamos dónde, cómo y por qué almacenamos tus datos.

0

Formulario Newsletter

Consigue 5%
de descuento

Suscríbete gratis a la newsletter
y consigue 5% de descuento en tu próxima compra